Robust universal relations in neutron star asteroseismology
DEEPAK KUMAR | TUHIN MALIK | HIRANMAYA MISHRA | CONSTANÇA PROVIDÊNCIA
Phys. Rev. D 109 (2024) 043030
e-Print: 2306.09277 [nucl-th]

The non-radial oscillations of the neutron stars (NSs) have been suggested as a useful tool to probe the composition of neutron star matter (NSM). With this scope in mind, we consider a large number of equations of states (EOSs) that are consistent with nuclear matter properties and pure neutron matter EOS based on a chiral effective field theory (chEFT) calculation for the low densities and perturbative QCD EOS at very high densities. This ensemble of EOSs is also consistent with astronomical observations, gravitational waves in GW170817, mass and radius measurements from Neutron star Interior Composition ExploreR (NICER). We analyze the robustness of known universal relations (URs) among the quadrupolar ff mode frequencies, masses and radii with such a large number of EOSs and we find a new UR that results from a strong correlation between the ff mode frequencies and the radii of NSs. Such a correlation is very useful in accurately determining the radius from a measurement of ff mode frequencies in the near future. We also show that the quadrupolar ff mode frequencies of NS of masses 2.0 M⊙⊙ and above lie in the range ∼∼ 2-3 kHz in this ensemble of physically realistic EOSs. A NS of mass 2M⊙⊙ with a low ff mode frequency may indicate the existence of non-nucleonic degrees of freedom.
Decoding Neutron Star Observations: Revealing Composition through Bayesian Neural Networks
VALÉRIA CARVALHO | MÁRCIO FERREIRA | TUHIN MALIK | CONSTANÇA PROVIDÊNCIA
Phys. Rev. D 108 (2023) 043031
e-Print: 2306.06929 [nucl-th]

We exploit the great potential offered by Bayesian Neural Networks (BNNs) to directly decipher the internal composition of neutron stars (NSs) based on their macroscopic properties. By analyzing a set of simulated observations, namely NS radius and tidal deformability, we leverage BNNs as effective tools for inferring the proton fraction and sound speed within NS interiors. Our initial results demonstrate that BNNs successfully recover the composition with reasonable levels of uncertainty. Furthermore, using mock data prepared with the DD2, a different class of relativistic mean-field model utilized during training, the BNN model effectively retrieves the proton fraction and speed of sound for neutron star matter.
Strong magnetic fields and pasta phases reexamined
LUIGI SCURTO | HELENA PAIS | FRANCESCA GULMINELLI
Published in: Phys.Rev.C 107 (2023) 4, 045806
e-Print: 2212.09355 [nucl-th]

In this work, we compute the structure and composition of the inner crust of a neutron star in the presence of a strong magnetic field, such as can be found in magnetars. We show that the extension of the inhomogeneous region inside the star core due to the magnetic field strongly depends on the behavior of the symmetry energy in the crustal EoS. Finally, we argue that the extended spinodal instability observed in previous calculations can be related to the presence of small amplitude density fluctuations in the magnetar outer core, rather than to a thicker solid crust. The compressible liquid drop model formalism, while in overall agreement with the previous calculations, leads to a systematic suppression of the metastable solutions, thus allowing a more precise estimation of the crust-core transition density and pressure, and therefore a better estimation of the crustal radius.
Nonstrange quark stars within resummed QCD
TULIO E. RESTREPO | CONSTANÇA PROVIDÊNCIA | MARCUS BENGHI PINTO
Published in: Phys.Rev.D 107 (2023) 11, 114015
e-Print: 2212.11184 [hep-ph]

The recently developed resummation technique known as renormalization group optimized perturbation theory (RGOPT) is employed in the evaluation of the equation of state (EOS) describing nonstrange cold quark matter at next-to leading order. Remarkably, when the renormalization scale is chosen so as to reproduce maximum mass stars with M=2-2.3M⊙, one obtains a mass-radius curve compatible with the masses and radii of the pulsars PSR J0740+6620, PSR J0030+0451, and the compact object HESS J1731-347. Moreover, the scale dependence of the EOS (and mass-radius relation) obtained with the RGOPT is greatly improved when compared to that of pQCD. This seminal application to the description of quark stars shows that the RGOPT represents a robust alternative to pQCD when describing compressed quark matter.
Spanning the full range of neutron star properties within a microscopic description
TUHIN MALIK | MÁRCIO FERREIRA | MILENA BASTOS ALBINO | CONSTANÇA PROVIDÊNCIA
Published in: Phys.Rev.D 107 (2023) 10, 103018
e-Print: 2301.08169 [nucl-th]

The high-density behavior of nuclear matter is analyzed within a relativistic mean field description with nonlinear meson interactions. To assess the model parameters and their output, a Bayesian inference technique is used. Models with the strongest nonlinear vector field contribution have the largest speed of sound below three times saturation density, but the smallest at high densities, in particular, above four times saturation density the speed of sound decreases approaching approximately sqrt(0.4)c at the center of the maximum mass star. A 2.75M⊙ neutron star (NS) maximum mass was obtained in the tail of the posterior with a weak nonlinear vector field interaction. This indicates that the secondary object in GW190814 could also be an NS. The possible onset of hyperons and the compatibility of the different sets of models with perturbative QCD (pQCD) are discussed. It is shown that pQCD favors models with a large contribution from the nonlinear vector field term or which include hyperons.
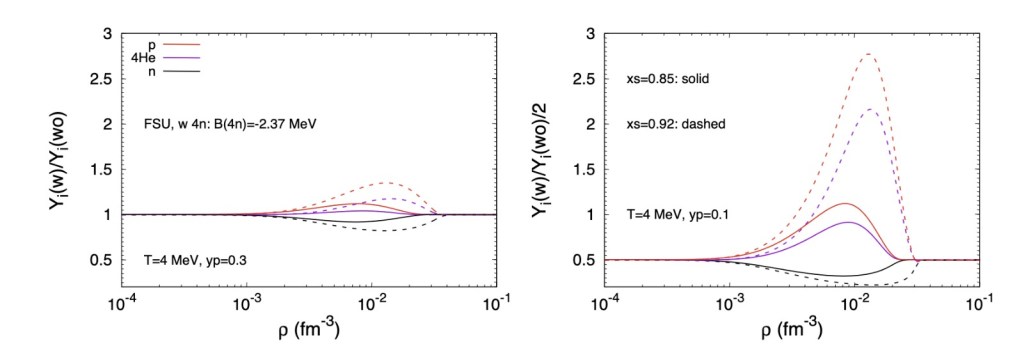
Influence of the tetraneutron on the EoS under core-collapse supernova and heavy-ion collision conditions
Helena Pais | Conrado Albertus | Maria Angeles Pérez-García | Constança Providência

Recently, a resonant state of four neutrons (tetraneutron) with an energy of E_4n=2.37±0.38(stat)±0.44(sys) MeV and a width of Γ=1.75±0.22(stat)±0.30(sys) MeV was reported. In this work, we analyse the effect of including such an exotic state on the yields of other light clusters, that not only form in astrophysical sites, such as core-collapse supernovae and neutron star mergers, but also in heavy-ion collisions. To this aim, we use a relativistic mean-field formalism, where we consider in-medium effects in a two-fold way, via the couplings of the clusters to the mesons, and via a binding energy shift, to compute the low-density equation of state for nuclear matter at finite temperature and fixed proton fraction. We consider five light clusters, deuterons, tritons, heliums, α-particles, and 6He, immersed in a gas of protons and neutrons, and we calculate their abundances and chemical equilibrium constants with and without the tetraneutron. We also analyse how the associated energy of the tetraneutron would influence such results. We find that the low-temperature, neutron-rich systems, are the ones most affected by the presence of the tetraneutron, making neutron stars excellent environments for their formation. Moreover, its presence in strongly asymmetric matter may increase considerably the proton and the α-particle fractions. This may have an influence on the dissolution of the accretion disk of the merger of two neutron stars.
Temperature and strong magnetic field effects in dense matter
J. Peterson | P. Costa | R. Kumar | V. Dexheimer | R. Negreiros
Published in: Phys.Rev.D 107 (2023) 11, 114015
e-Print: 2212.11184 [hep-ph]

T = 0 (full lines), 45 (dashed lines) and 100 (dotted lines)
MeV and for several nonzero magnetic fields
We study consistently the effects of magnetic field on hot and dense matter. In particular, we look for differences that arise due to assumptions that reproduce the conditions produced in particle collisions or astrophysical scenarios, such as in the core of fully evolved neutron stars (beyond the protoneutron star stage). We find that net isospin, net strangeness, and weak chemical equilibrium with leptons can considerably change the effects of temperature and magnetic fields on particle content and deconfinement in dense matter. We finish by discussing the possibility of experimentally detecting quark deconfinement in dense and/or hot matter and the possible role played by magnetic fields.
Neutron star equation of state: identifying hadronic matter characteristics
Constança Providência | Tuhin Malik | Milena Bastos Albino | Márcio Ferreira
Book chapter to be published in “Nuclear Theory in the Age of Multimessenger Astrophysics” by Talor & Francis
e-Print: 2307.05086 [nucl-th]

The general behavior of the nuclear equation of state (EOS), relevant for the description of neutron stars (NS), is studied within a relativistic mean field description of nuclear matter. Different formulations, both with density dependent couplings and with non-linear mesonic terms, are considered and their predictions compared and discussed. A special attention is drawn to the effect on the neutron star properties of the inclusion of exotic degrees of freedom as hyperons. Properties such as the speed of sound, the trace anomaly, the proton fraction and the onset of direct Urca processes inside neutron stars are discussed.
Unified neutron star equations of state calibrated to nuclear properties
Tuhin Malik | Helena Pais | Constança Providência
e-Print: 2401.10842 [nucl-th]

Twenty one unified neutron star EoS were chosen from that dataset, in such a way that a large range of values of the slope of the symmetry energy at saturation is covered. Several quantities are calculated and discussed, such as the the proton fraction and the direct Urca behavior, the density dependence of the speed of sound and the trace anomaly, the crust-core transition properties, the compatibility with astrophysical observations, and the neutron matter properties from χχEFT calculations and pQCD constraints. The spectral representation for all the EOS according to the format proposed in Lindblom 2010 is given, which is a convenient representation to study quasi-periodic oscillations with realistic EOS. It is shown that several of these EoS have in the center of the most massive NS a speed of sound squared of the order of ≲0.5. Three of the EoS satisfy all of the constraints imposed. All these EoS will be made available in the CompOSE platform.
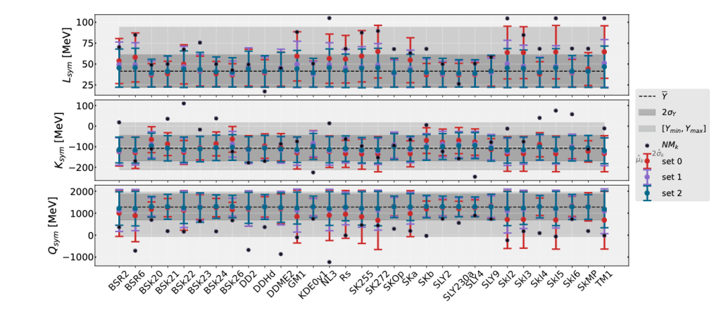
From NS observations to nuclear matter properties: a machine learning approach
Constança Providência | Tuhin Malik | Milena Bastos Albino | Márcio Ferreira
e-Print: 2401.05770 [nucl-th]

the training dataset [Ymin, Ymax]. The dashed line and dark grey band correspond, respectively, to the mean and the 2σ CI of the training region
(Y ± 2σY ). The error bar denotes the 2σ range prediction by the BNN model for the sets 0, 1, and 2.
This study is devoted to the inference problem of extracting the nuclear matter properties directly from a set of mass-radius observations. We employ Bayesian neural networks (BNNs), which is a probabilistic model capable of estimating the uncertainties associated with its predictions. Our results show BNNs as an accurate and reliable tool for predicting the nuclear matter properties whenever the true values are not completely outside the training dataset statistics, i.e., if the model is not heavily dependent on its extrapolating capacities. Our study provides a valuable inference framework when new NS data becomes available.
Exploring robust correlations between fermionic dark matter model parameters and neutron star properties: A two-fluid perspective
Prashant Thakur | Tuhin Malik | Arpan Das | T.K. Jha | Constança Providência
Published in: Phys.Rev.D 109 (2024) 4, 043030
e-Print: 2308.00650 [hep-ph]

We investigate the probable existence of dark matter in the interior of neutron stars. Despite the current state of knowledge, the observational properties of neutron stars have not definitively ruled out the possibility of dark matter. Our research endeavors to shed light on this intriguing mystery by examining how certain neutron star properties, including mass, radius, and tidal deformability, might serve as constraints for the dark matter model. In our investigation, we adopt a two-fluid approach to calculate the properties of neutron stars. The dark matter EOS is described considering fermionic matter with repulsive interaction described by a relativistic mean field Lagrangian. Our results reveal a promising correlation between the dark matter model parameters and stellar properties, particularly when we ignore the uncertainties in the nuclear matter EOS. However, when introducing uncertainties in the nuclear sector, the correlation weakens, suggesting that the task of conclusively constraining any particular dark matter model might be challenging using global properties alone, such as mass, radius, and tidal deformability. Notably, we find that dark-matter admixed stars tend to have higher central baryonic density, potentially allowing for non-nucleonic degrees of freedom or direct Urca processes in stars with lower masses.
General predictions of neutron star properties using unified relativistic mean-field equations of state
Luigi Scurto | Helena Pais | Francesca Gulminelli
Published in: Phys.Rev.D 109 (2024) 4, 043030
e-Print: 2402.15548 [nucl-th]

We present general predictions for the static observables of neutron stars (NSs) under the hypothesis of a purely nucleonic composition of the ultra-dense baryonic matter, using Bayesian inference on a very large parameter space conditioned by both astrophysical and nuclear physics constraints. The equation of states are obtained using a unified approach of the NS core and inner crust within a fully covariant treatment based on a relativistic mean-field Lagrangian density with density dependent couplings. The posterior distributions are well compatible with the ones obtained by semi-agnostic meta-modelling techniques based on non-relativistic functionals, that span a similar portion of the parameter space in terms of nuclear matter parameters, and we confirm that the hypothesis of a purely nucleonic composition is compatible with all the present observations. We additionally show that present observations do not exclude the existence of very massive neutron stars with mass compatible with the lighter partner of the gravitational event GW190814 measured by the LIGO-Virgo collaboration. Some selected representative models, that respect well all the constraints taken into account in this study, and approximately cover the residual uncertainty in our posterior distributions, will be uploaded in the CompOSE database for use by the community.
Detecting the third family of compact stars with normalizing flows
Valéria Carvalho | Márcio Ferreira | Constança Providência | Michał Bejger
Published in: Phys.Rev.D 109 (2024) 10, 103032
e-Print: 2403.09398 [nucl-th]

We explore the anomaly detection framework based on Normalizing Flows (NF) models introduced in
PhysRevC.106.065802 to detect the presence of a large (destabilising) dense matter phase transition in neutron star (NS) observations of masses and radii, and relate the feasibility of detection with parameters of the underlying mass-radius sequence, which is a functional of the dense matter equation of state. Once trained on simulated data featuring continuous M(R)M(R) solutions (i.e., no phase transitions), NF is used to determine the likelihood of a first-order phase transition in a given set of M(R) observations featuring a discontinuity, i.e., perform the anomaly detection. Different mock test sets, featuring two branch solutions in the M(R) diagram, were parameterized by the NS mass at which the phase transition occurs, Mc, and the radius difference between the heaviest hadronic star and lightest hybrid star, ΔR. We analyze the impact of these parameters on the NF performance in detecting the presence of a first-order phase transition. Among the results, we report that given a set of 15 stars with radius uncertainty of 0.2 km, a detection of a two-branch solution is possible with 95% accuracy if ΔR>0.4 km.
What Is the Nature of the HESS J1731-347 Compact Object?
Violetta Sagun, | Edoardo Giangrandi | Tim Dietrich | Oleksii Ivanytskyi | Rodrigo Negreiros | Constança Providência
Published in: Astrophys.J. 958 (2023) 1, 49
e-Print: 2306.12326 [astro-ph.HE]

Constraining a relativistic mean field model using neutron star mass–radius measurements I: nucleonic models
Chun Huang | Geert Raaijmakers | Anna L. Watts | Laura Tolos | Constança Providência
Monthly Notices of the Royal Astronomical Society, Volume 529, Issue 4, April 2024, Pages 4650–4665

Measurements of neutron star mass and radius or tidal deformability deliver unique insight into the equation of state (EOS) of cold dense matter. EOS inference is very often done using generalized parametric or non-parametric models which deliver no information on composition. In this paper we consider a microscopic nuclear EOS model based on a field theoretical approach. We show that current measurements from NICER and gravitational wave observations constrain primarily the symmetric nuclear matter EOS. We then explore what could be delivered by measurements of mass and radius at the level anticipated for future large-area X-ray timing telescopes. These should be able to place very strong limits on the symmetric nuclear matter EOS, in addition to constraining the nuclear symmetry energy that determines the proton fraction inside the neutron star.
The impact of asymmetric dark matter on the thermal evolution of nucleonic and hyperonic compact stars
Edoardo Giangrandi | Afonso Ávila | Violetta Sagun | Oleksii Ivanytskyi | Constança Providência
Particles 7 (2024) 179-200

We investigate the impact of asymmetric fermionic dark matter (DM) on the thermal evolution of neutron stars (NSs), considering a scenario where DM interacts with baryonic matter (BM) through gravity. Employing the two-fluid formalism, our analysis reveals that DM accrued within the NS core exerts an inward gravitational pull on the outer layers composed of BM. This gravitational interaction results in a noticeable increase in baryonic density within the core of the NS. Consequently, it strongly affects the star’s thermal evolution by triggering an early onset of the direct Urca (DU) processes, causing an enhanced neutrino emission and rapid star cooling. Moreover, the photon emission from the star’s surface is modified due to a reduction of radius. We demonstrate the effect of DM gravitational pull on nucleonic and hyperonic DU processes that become kinematically allowed even for NSs of low mass. We then discuss the significance of observing NSs at various distances from the Galactic center. Given that the DM distribution peaks toward the Galactic center, NSs within this central region are expected to harbor higher fractions of DM, potentially leading to distinct cooling behaviors.
Implications of comprehensive nuclear and astrophysics data on the equations of state of neutron star matter
Sk Md Adil Imam | Tuhin Malik | Constança Providência | B.K. Agrawal
Published in: Phys.Rev.D 109 (2024) 10, 103025 (https://doi.org/10.1103/PhysRevD.109.103025)
e-Print: 2401.06018 [nucl-th]

The equations of state (EOSs) governing neutron star (NS) matter obtained for both nonrelativistic and relativistic mean-field models are systematically confronted with a diverse set of terrestrial data and astrophysical observations within the Bayesian framework. Three distinct posterior distributions of EOSs are generated by gradually updating the priors with different constraints: (i) only the maximum NS mass, (ii) incorporating additional terrestrial data, and (iii) combining both the terrestrial data and astrophysical observations. It is observed that the relativistic mean-field model yields stiffer EOS around the saturation density but predicts smaller values of the speed of sound and proton fraction in the interior of massive stars.
Astrophysics and Nuclear Physics Informed Interactions in Dense Matter: Insights from PSR J0437-4715
Tuhin Malik | V. Dexheimer | Constança Providência
e-Print: 2404.07936 [nucl-th] (link: https://arxiv.org/abs/2404.07936)
Published in: Phys.Rev.D 110 (2024) 4, 4 2024) 6, 063018

We investigate how vector and isovector interactions can be determined within the density regime of neutron stars, while fulfilling nuclear and astrophysics constrains. We make use of the Chiral Mean Field (CMF) model, a SU(3) nonlinear realization of the sigma model within the mean-field approximation, for the first time within a Bayesian analysis framework. We show that neutron-matter chEFT constraints at low density are only satisfied if the vector-isovector mixed interaction term is included, e.g., a ω2ρ2 term. We also include data from the gravitation wave event GW230529 detected by the LIGO-Virgo-Kagra collaboration and the most recent radius measurement of PSR J0437-4715 from the NASA NICER mission. Our analysis reveals that this new NICER measurement leads to an average reduction of approximately ∼0.15∼0.15 km radius in the posterior of the neutron-star mass-radius relationship
Constraining neutron star matter from dM/dRdM/dR
Márcio Ferreira | Constança Providência
e-Print:2406.12582 [nucl-th] (link: https://arxiv.org/abs/2406.12582)
Phys.Rev.D 110 (2024) 6, 063018

It is expected that the next generation of gravitational wave and electromagnetic detectors will allow the determination of the neutron star radius and mass with a small uncertainty. From a model-independent description of the neutron star equation of state, it is shown that a M(R) curve with a negative slope at 1.4M⊙ predicts a 2M⊙ neutron star radius below 12 km. Furthermore, a maximum mass below 2.3M⊙ is obtained if the M(R) slope is negative in the whole range of masses above 1M⊙, and a maximum mass above 2.4M⊙ requires the M(R)slope to be positive in some range of masses. Constraints on the mass-radius curve of neutron stars will place strong constraints on microscopic models
CompactObject: An open-source Python package for full-scope neutron star equation of state inference
Chun Huang | Tuhin Malik | João Cartaxo | Shashwat Sourav | Wenli Yuan (C. Providência)
e-Print: 2411.14615 [astro-ph.HE] (link: https://inspirehep.net/literature/2851207)
The CompactObject package is an open-source software framework developed to constrain the neutron star equation of state (EOS) through Bayesian statistical inference. It integrates astrophysical observational constraints from X-ray timing, gravitational wave events, and radio measurements, as well as nuclear experimental constraints derived from perturbative Quantum Chromodynamics (pQCD) and Chiral Effective Field Theory (χχEFT). The package supports a diverse range of EOS models, including meta-model like and several physics-motivated EOS models.
Constraining a relativistic mean field model using neutron star mass-radius measurements II: Hyperonic models
Chun Huang | Laura Tolos | Constança Providência | Anna Watts
e-Print: 2410.14572
Accepted for publication in ApJ

We investigate whether measurements of the neutron star mass and radius or the tidal deformability can provide information about the presence of hyperons inside a neutron star. This is achieved by considering two inference models, with and without hyperons, based on a field-theoretical approach. While current observations do not distinguish between the two scenarios, we have shown that data simulating expected observations from future large area X-ray timing telescopes could provide some information through Bayes factors. Inference using simulated data generated from an EOS containing hyperons decisively favours the hyperonic model over the nucleonic model. However, a 2% uncertainty in the mass and radius determination may not be sufficient to constrain the parameters of the model when only six neutron star mass-radius measurements are considered.
Detecting hyperons in neutron stars: A machine learning approach
Valéria Carvalho | Márcio Ferreira | Constança Providência
Published in: Phys.Rev.D 110 (2024) 12, 123016
e-Print: 2409.12684 [nucl-th]

We present a neural network classification model for detecting the presence of hyperonic degrees of freedom in neutron stars. The models take radii and/or tidal deformabilities as input and give the probability for the presence of hyperons in the neutron star composition. Different numbers of observations and different levels of uncertainty in the neutron star properties are tested. The models have been trained on a dataset of well-calibrated microscopic equations of state of neutron star matter based on a relativistic mean-field formalism. Real data and data generated from a different description of hyperonic matter are used to test the performance of the models.
Nambu–Jona-Lasinio description of hadronic matter from a Bayesian approach
K.D. Marquez | Tuhin Malik | Helena Pais | Débora P. Menezes | Constança Providência
Published in: Phys.Rev.D 110 (2024) 6, 063040
e-Print: 2407.18452 [nucl-th]

A microscopic nuclear matter formalism with explicit chiral symmetry based on the Nambu–Jona-Lasinio model is considered to describe nuclear matter. To reproduce nuclear matter properties adequately at the saturation density, four-point and eight-point interactions are introduced. Within a Bayesian inference approach, the parameters of the model are determined by imposing nuclear matter, both experimental and from ab initio calculations, and neutron star observational constraints. Nuclear matter properties are well reproduced with an effective mass of 0.75 to 0.8 nucleon mass at the saturation density. At 90% confidence level, the radius of a 1.4M⊙ star varies between 11.48 and 13.20 km, masses as large as ∼2.2M⊙ are predicted and the radius of a 2M⊙ star is above 10.5 km. High-density perturbative QCD (pQCD) results exclude equations of state that predict larger maximum masses and radii. The speed of sound increases monotonically with density and reaches values as large as 0.7c–0.8c in the center of massive stars. Several properties such as the polytropic index or the renormalized trace anomaly, which have been proposed to identify the deconfined phase transition, are analyzed. Interestingly, the radius of the obtained posterior that also meets pQCD constraints aligns closely with the mass-radius measurement of the recent PSR J0437-4715, which contrasts with other relativistic mean field model results.
Constraining the high-density behavior of nuclear symmetry energy with direct Urca processes
Olfa Boukari | Tuhin Malik | Aziz Rabhi | Constança Providência
Published in: Phys.Rev.C 110 (2024) 6, 065801
e-Print: 2407.04403 [nucl-th]

The density dependence of the symmetry energy in relativistic mean-field models with density dependent couplings is discussed in terms of the possible opening of nucleonic direct Urca processes inside neutron stars, which induce a very rapid cooling of the star. The modification of the parametrization of the isospin channel of two models, DD2 and DDMEX, keeping the same isoscalar properties is considered and the implications are discussed. Within the models discussed it is not possible the onset of nucleonic direct Urca processes in stars with a mass below ≈1.6M⊙ if chiral effective-field theory constraints for neutron matter are imposed. A Bayesian inference calculation confirms the low probability that nucleonic direct Urca processes occur inside stars with masses below 1.8M⊙, considering the isoscalar channel of the equation of state described by DD2 or DDMEX and the same symmetry energy at saturation. The lowest masses allowing direct Urca processes are associated with a slope of the symmetry energy above 60MeV and most likely a positive symmetry energy incompressibility. It is shown that the parametrization of the isospin channel proposed destroys the correlation between symmetry energy slope and incompressibility previously identified in several works.
Assessing the joint effect of temperature and magnetic field on the neutron star equation of state
Luigi Scurto | Valéria Carvalho | Helena Pais | Constança Providência
Published in: Phys.Rev.C 110 (2024) 4, 045805
e-Print: 2407.03113 [nucl-th]

In this work, we study the effect of strong magnetic fields on the equation of state (EoS) of warm, homogeneous, neutron star (NS) matter in beta equilibrium. NS matter is described within a relativistic mean field (RMF) approximation, including both models with nonlinear meson terms or with density-dependent nucleon-meson couplings. We first study the effect of magnetic fields and finite temperature on the EoS separately, finding that the effect of the latter to be significantly stronger than the one of the former. We then study the combined effect of magnetic fields and temperature on the internal composition. We show how both factors cause an increase in the proton fraction at low density and that, as long as the temperatures considered are not higher than 10 MeV, the effect of the magnetic field on the proton fraction is not small enough to be neglected.
Calibrating the Medium Effects of Light Clusters in Heavy-Ion Collisions
Tiago Custódio | Alex Rebillard-Soulié | Rémi Bougault | Diego Gruyer | Francesca Gulminelli | Helena Pais | Constança Providência
Published in: Phys.Rev.Lett. 134 (2025) 8, 082304
e-Print: 2407.02307 [nucl-th]

We propose a Bayesian inference estimation of in-medium modification of the cluster self-energies from light nuclei multiplicities measured in selected samples of central Xe136,124+Sn124,112 collisions with the INDRA apparatus. The data are interpreted with a relativistic quasiparticle cluster approach in the mean-field approximation without any prior assumption on the thermal parameters of the model. An excellent reproduction is obtained for H and He isotope multiplicities, and compatible posterior distributions are found for the unknown thermal parameters. We conclude that the cluster-σ-meson coupling is temperature dependent, becoming weaker when the temperature increases, in agreement with microscopic quantum statistical calculations. This implies a faster decrease of the light cluster abundances with temperature than previously estimated.
Impact of the Scalar Isovector δδ-meson on the description of nuclear matter and neutron star properties
Lavínia Gabriela Teodoro dos Santos | Tuhin Malik | Constança Providência
Accepted for publication in Phys. Rev. C
doi: 10.5281/zenodo.15024143
e-Print: 2412.04946 [nucl-th]

The implications of including the scalar isovector δδ-meson in a relativistic mean-field description of nuclear matter are discussed. A Bayesian inference approach is used to determine the parameters that define the isovector properties of the model. The properties of nuclear matter and neutron stars are discussed. The inclusion of the δδ-meson has only a small effect on the maximum mass of the neutron star (NS) and on the speed of sound in its interior, but it has a strong effect on the radius and the tidal deformability of low and medium mass stars.
